


さてと、ここで、2つの群の母分散が等しく、標本数も等しいとする。有意水準0.05および0.01で、両側対立仮説を棄却しようとしたときの、「標本数nと (y1-y2)/σ」の関係を見てみる。
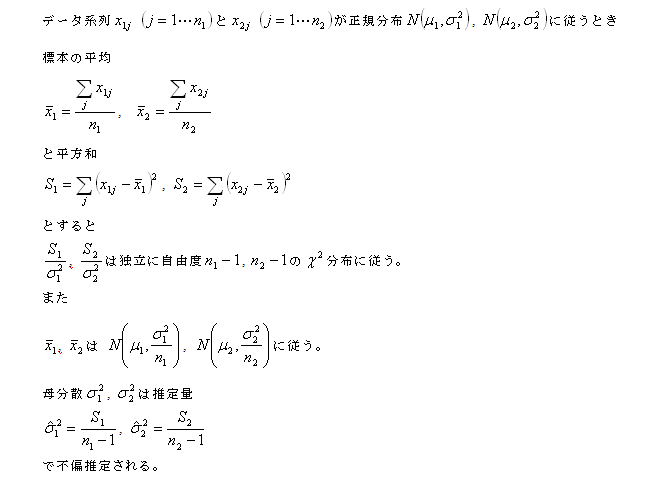
こんなかんじで計算あってるかな...

【Othersの最新記事】
| 日 | 月 | 火 | 水 | 木 | 金 | 土 |
|---|---|---|---|---|---|---|
| 1 | ||||||
| 2 | 3 | 4 | 5 | 6 | 7 | 8 |
| 9 | 10 | 11 | 12 | 13 | 14 | 15 |
| 16 | 17 | 18 | 19 | 20 | 21 | 22 |
| 23 | 24 | 25 | 26 | 27 | 28 | 29 |
| 30 |




この広告は90日以上新しい記事の投稿がないブログに表示されております。